Pola trójkątów prostokątnych są kluczowym zagadnieniem w geometrii, które pozwala na zrozumienie wielkości i proporcji tych kształtów. Oblicza się je jako połowę mnożenia podstawy przez wysokość. W tym artykule skoncentrujemy się na dwóch przykładach: trójkącie o polu 10 cm² oraz trójkącie o polu 18 cm². Porównamy te dwa pola, aby lepiej zrozumieć, jak różne wymiary wpływają na wielkość trójkątów prostokątnych.
Analiza ta pomoże nie tylko w obliczeniach, ale także w praktycznym zastosowaniu wiedzy o trójkątach prostokątnych w codziennym życiu. Zrozumienie tych podstawowych zasad może być przydatne w różnych dziedzinach, od architektury po projektowanie wnętrz.
Kluczowe wnioski:
- Pole trójkąta prostokątnego oblicza się jako połowę mnożenia jego podstawy i wysokości.
- Przykładami pól trójkątów prostokątnych są 10 cm² i 18 cm².
- Porównanie tych pól pozwala na lepsze zrozumienie wpływu wymiarów na wielkość trójkątów.
- Różnice w polach mogą mieć praktyczne zastosowanie w różnych dziedzinach, takich jak budownictwo czy projektowanie.
Obliczanie pól trójkątów prostokątnych dla zrozumienia ich wielkości
Obliczanie pól trójkątów prostokątnych jest kluczowym zagadnieniem w geometrii. Pola trójkątów prostokątnych oblicza się jako połowę mnożenia podstawy przez wysokość. Zrozumienie tej formuły ma ogromne znaczenie, ponieważ pozwala na określenie wielkości trójkątów w różnych kontekstach, na przykład w architekturze, inżynierii czy projektowaniu wnętrz. Dzięki tej wiedzy można lepiej planować i realizować projekty, które wykorzystują trójkąty prostokątne.
Znajomość wzoru na pole trójkąta prostokątnego jest nie tylko teoretyczna, ale ma również praktyczne zastosowania. W codziennym życiu możemy spotkać się z sytuacjami, w których musimy obliczyć pole trójkąta, na przykład przy ustalaniu powierzchni działki budowlanej lub planowaniu przestrzeni. Wiedza ta jest zatem niezbędna dla każdego, kto pracuje w dziedzinach związanych z przestrzenią i konstrukcją.
Wzór na pole trójkąta prostokątnego i jego zastosowanie
Wzór na pole trójkąta prostokątnego to 1/2 * podstawa * wysokość. Oznacza to, że aby obliczyć pole, należy zmierzyć długość podstawy oraz wysokość trójkąta, a następnie pomnożyć te wartości i podzielić przez dwa. Wartości te są kluczowe, ponieważ pole trójkąta prostokątnego jest bezpośrednio związane z jego wymiarami. Zrozumienie tej formuły pozwala na szybkie i efektywne obliczenia w różnych sytuacjach.
Przykłady obliczeń pól trójkątów prostokątnych z danymi
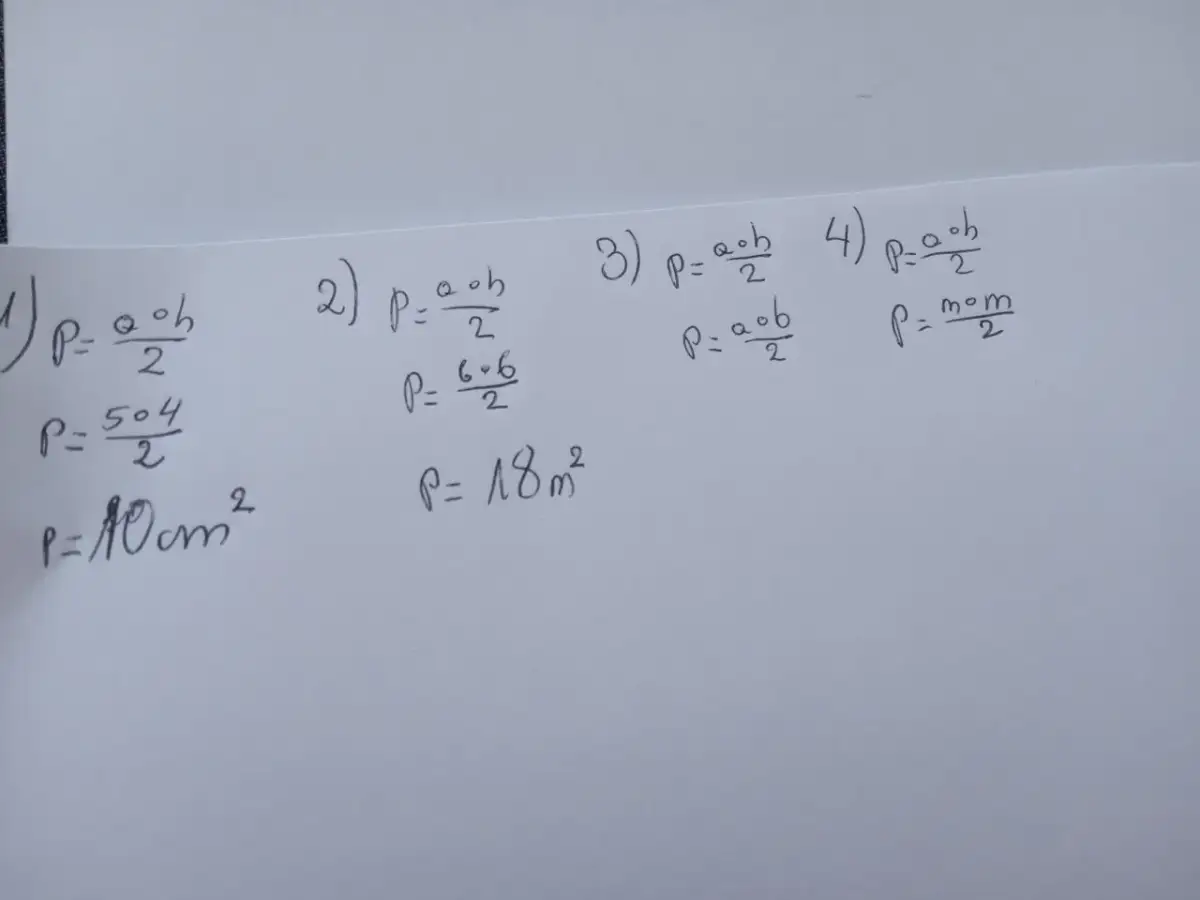
Obliczanie pól trójkątów prostokątnych można wykonać na podstawie znanych wymiarów. Na przykład, dla trójkąta o polu 10 cm², możemy założyć, że jego podstawa wynosi 5 cm, a wysokość 4 cm. Używając wzoru na pole trójkąta prostokątnego, obliczamy: 1/2 * 5 cm * 4 cm = 10 cm². Dzięki temu możemy zobaczyć, jak konkretne wymiary wpływają na pole trójkąta.
W przypadku drugiego trójkąta, który ma pole 18 cm², załóżmy, że jego podstawa wynosi 6 cm, a wysokość 6 cm. Obliczenia wyglądają następująco: 1/2 * 6 cm * 6 cm = 18 cm². Te przykłady pokazują, jak różne wymiary mogą prowadzić do różnych wartości pól, co jest istotne przy planowaniu przestrzeni.
| Podstawa (cm) | Wysokość (cm) | Pole (cm²) |
|---|---|---|
| 5 | 4 | 10 |
| 6 | 6 | 18 |
Porównanie pól trójkątów prostokątnych na podstawie danych
Porównanie pól trójkątów prostokątnych o różnych wartościach, takich jak 10 cm² i 18 cm², pozwala na zrozumienie, jak różnice w wielkości wpływają na ich zastosowanie w praktyce. Trójkąt o większym polu może być bardziej odpowiedni w projektach, które wymagają większej powierzchni, na przykład w budownictwie czy architekturze. Z drugiej strony, mniejszy trójkąt może być idealny do bardziej kompaktowych rozwiązań. Warto zatem analizować te różnice, aby podejmować lepsze decyzje projektowe.
Różnice w polach trójkątów prostokątnych mają również znaczenie w kontekście ich wykorzystania. Trójkąt o polu 18 cm² może być bardziej stabilny i lepiej rozkładać obciążenia, co jest kluczowe w konstrukcjach. Natomiast mniejszy trójkąt może być użyty w miejscach, gdzie przestrzeń jest ograniczona. Zrozumienie tych różnic pozwala na efektywne planowanie i optymalne wykorzystanie dostępnej przestrzeni w różnych projektach.
Analiza różnic między polami 10 cm² a 18 cm²
Analizując różnice między polami trójkątów prostokątnych o wartościach 10 cm² i 18 cm², widzimy, że większy trójkąt oferuje znacznie większą powierzchnię, co ma swoje konsekwencje w praktycznych zastosowaniach. Zwiększone pole może oznaczać większe możliwości w zakresie wykorzystania przestrzeni, co jest istotne w projektach budowlanych. W przypadku trójkąta o polu 10 cm², jego mniejsze wymiary mogą być korzystne w sytuacjach, gdzie przestrzeń jest ograniczona, co czyni go bardziej elastycznym rozwiązaniem.
Wpływ wymiarów na pole trójkąta prostokątnego
Wymiary trójkątów prostokątnych, w tym długość podstawy i wysokości, mają kluczowe znaczenie dla obliczenia ich pola. Zmieniając te wartości, można zauważyć, jak pole trójkąta zmienia się w zależności od zastosowanych wymiarów. Na przykład, jeśli zwiększymy wysokość przy stałej podstawie, pole trójkąta również wzrośnie. To zjawisko jest niezwykle istotne w projektowaniu, gdzie precyzyjne wymiary mogą wpływać na funkcjonalność i estetykę konstrukcji.
Oprócz tego, zmiana długości podstawy ma podobny wpływ na pole trójkąta prostokątnego. Im dłuższa podstawa, tym większe pole, przy zachowaniu tej samej wysokości. W praktyce oznacza to, że architekci i inżynierowie muszą dokładnie planować wymiary trójkątów, aby osiągnąć pożądany efekt. Zrozumienie, jak wymiary wpływają na pole, jest kluczowe dla efektywnego wykorzystania przestrzeni w różnych projektach budowlanych.
| Podstawa (cm) | Wysokość (cm) | Pole (cm²) |
|---|---|---|
| 5 | 4 | 10 |
| 6 | 6 | 18 |
Na powyższym diagramie przedstawione są dwa trójkąty prostokątne o polach 10 cm² i 18 cm², z wyraźnie oznaczonymi wymiarami podstawy i wysokości.

Porady dotyczące wyboru wymiarów trójkątów prostokątnych
- Rozpocznij od określenia, jakie pole chcesz uzyskać. Na przykład, jeśli chcesz pole wynoszące 10 cm², możesz ustalić długość podstawy i wysokości, które spełnią ten warunek.
- Użyj różnych kombinacji podstawy i wysokości. Możesz na przykład ustalić podstawę na 5 cm i wysokość na 4 cm, aby uzyskać pole 10 cm².
- Przy większych polach, takich jak 18 cm², rozważ podstawę 6 cm i wysokość 6 cm, co również spełnia wymagania dla obliczeń.
- Eksperymentuj z różnymi wymiarami, aby znaleźć optymalne rozwiązania dla swoich projektów. Zmiana jednego z wymiarów może znacząco wpłynąć na pole trójkąta.
Praktyczne zastosowania pól trójkątów prostokątnych w projektowaniu
Znajomość pól trójkątów prostokątnych ma szerokie zastosowanie nie tylko w geometrii, ale także w różnych dziedzinach projektowania. Na przykład, w architekturze, trójkąty prostokątne są często wykorzystywane do tworzenia stabilnych konstrukcji, takich jak dachy czy podporowe elementy budynków. Zrozumienie, jak wymiary wpływają na pole, pozwala architektom na optymalizację przestrzeni i materiałów, co prowadzi do bardziej efektywnych i ekonomicznych projektów.
W przyszłości, wraz z rozwojem technologii, możemy spodziewać się jeszcze bardziej zaawansowanych technik projektowania opartych na analizie pól trójkątów prostokątnych. Na przykład, wykorzystanie oprogramowania do modelowania 3D może umożliwić projektantom eksperymentowanie z różnymi wymiarami w czasie rzeczywistym, co pozwoli na szybsze osiąganie optymalnych rozwiązań. Tego rodzaju innowacje mogą zrewolucjonizować sposób, w jaki postrzegamy i wykorzystujemy trójkąty prostokątne w projektowaniu.
