
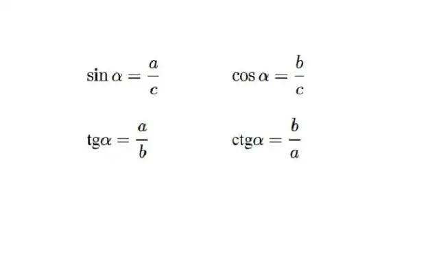
Portal trygonometria.edu.pl oferuje zasoby edukacyjne dotyczące trygonometrii. Znajdziesz tu materiały, ćwiczenia oraz przykłady, które pomogą w zrozumieniu zagadnień związanych z funkcjami trygonometrycznymi, kątem i trójkątami. Idealne dla uczniów i nauczycieli.