Potęga w matematyce to ważne pojęcie, które odnosi się do działania arytmetycznego polegającego na wielokrotnym mnożeniu tej samej liczby przez siebie. W matematyce, podstawa potęgi to liczba, która jest mnożona, a wykładnik potęgi wskazuje, ile razy ta liczba ma być pomnożona przez siebie. Na przykład, w wyrażeniu 23, liczba 2 jest mnożona przez siebie 3 razy, co daje wynik 8. Potęgowanie jest zatem skróconym zapisem długiego łańcucha mnożeń, co czyni je niezwykle przydatnym narzędziem w matematyce i naukach ścisłych.
W artykule przyjrzymy się bliżej definicji potęgi, jej notacji oraz kluczowym pojęciom, takim jak podstawa i wykładnik. Omówimy również różne typy potęg, w tym potęgi naturalne, ujemne i wymierne, oraz ich zastosowanie w praktyce. Dzięki temu zrozumiesz, jak potęgowanie jest używane w różnych dziedzinach, od fizyki po informatykę.
Najważniejsze informacje:
- Potęga to działanie arytmetyczne polegające na wielokrotnym mnożeniu tej samej liczby.
- Podstawą potęgi jest liczba, a wykładnikiem liczba wskazująca, ile razy ta liczba ma być pomnożona.
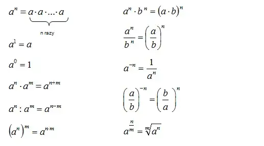
- Notacja potęgi zapisywana jest jako an, gdzie a to podstawa, a n to wykładnik.
- Potęgi naturalne są iloczynem n jednakowych czynników równych podstawie.
- Potęgi ujemne i wymierne mają swoje specyficzne zasady obliczeń, które są istotne w matematyce.
- Potęgowanie znajduje zastosowanie w wielu dziedzinach, takich jak fizyka, chemia, ekonomia i informatyka.
Definicja potęgi w matematyce i jej znaczenie w obliczeniach
Potęga w matematyce to działanie arytmetyczne, które polega na wielokrotnym mnożeniu tej samej liczby przez siebie. Liczba, która jest mnożona, nazywana jest podstawą potęgi, a liczba wskazująca, ile razy ma być pomnożona, to wykładnik potęgi. Na przykład, w zapisie an, gdzie a to podstawa, a n to wykładnik, wyrażenie to oznacza, że a jest mnożone przez siebie n razy. Potęgowanie jest zatem skróconym zapisem długiego łańcucha mnożeń, co czyni je niezwykle użytecznym narzędziem w matematyce.
W praktyce, potęgi są szeroko stosowane w różnych dziedzinach matematyki oraz nauk ścisłych. Od obliczeń w fizyce, przez analizy w chemii, aż po zastosowania w ekonomii i informatyce, potęgowanie odgrywa kluczową rolę. Zrozumienie tego pojęcia jest fundamentem dla dalszego zgłębiania bardziej złożonych tematów matematycznych, takich jak równania czy funkcje.
Jak zapisywać potęgę? Zrozumienie notacji matematycznej
Zapis potęgi w matematyce jest prosty, ale wymaga precyzyjnego zrozumienia notacji. W matematycznych wyrażeniach potęgę zapisuje się jako an, gdzie a jest podstawą, a n wykładnikiem. Taki zapis pozwala na łatwe przedstawienie wielokrotnego mnożenia, co jest szczególnie przydatne w bardziej skomplikowanych obliczeniach. Na przykład, zapiszemy 23 jako 2 · 2 · 2, co daje wynik 8.
Warto zauważyć, że w przypadku potęg ujemnych, zapis wygląda nieco inaczej. Na przykład, 2-2 oznacza 1/(22), co daje wynik 0,25. Dzięki takiej notacji możemy z łatwością operować na potęgach, niezależnie od tego, czy mają one wykładniki dodatnie, ujemne czy wymierne. Zrozumienie tej notacji jest kluczowe dla dalszego zgłębiania zagadnień związanych z potęgami.
Co to jest podstawa i wykładnik potęgi? Kluczowe pojęcia
W matematyce, podstawa i wykładnik potęgi to dwa kluczowe elementy, które definiują, jak działa potęgowanie. Podstawa to liczba, która jest mnożona przez siebie, natomiast wykładnik wskazuje, ile razy ta liczba ma być pomnożona. Na przykład, w zapisie an, a jest podstawą, a n to wykładnik. Zrozumienie tych pojęć jest istotne, ponieważ wpływa na sposób, w jaki przeprowadzamy obliczenia związane z potęgami.
Podstawa potęgi może być dowolną liczbą rzeczywistą, a wykładnik może być liczbą całkowitą, ujemną lub wymierną. W praktyce, potęgowanie pozwala na uproszczenie skomplikowanych obliczeń, co czyni je niezwykle przydatnym narzędziem w matematyce. Umiejętność rozróżniania podstawy i wykładnika jest kluczowa dla dalszego zrozumienia bardziej złożonych zagadnień matematycznych.

Przykłady potęg w matematyce, które ułatwią zrozumienie
Przykłady potęg są niezbędne do zrozumienia, jak działa to pojęcie w praktyce. Umożliwiają one zobaczenie, jak podstawa i wykładnik współdziałają w obliczeniach. Zastosowanie potęg w różnych kontekstach matematycznych pomaga w przyswojeniu tej koncepcji. Oto kilka konkretnych przykładów potęg:
- 23 = 2 · 2 · 2 = 8
- 32 = 3 · 3 = 9
- 5-1 = 1 / 5 = 0,2
- 41/2 = √4 = 2
Potęgi naturalne: Jak je obliczać i stosować w praktyce
Potęgi naturalne to szczególny przypadek potęg, w których wykładnik jest liczbą całkowitą dodatnią. Oznacza to, że potęga naturalna reprezentuje wielokrotne mnożenie tej samej liczby przez siebie. Na przykład, 23 oznacza, że 2 jest mnożone przez siebie trzy razy, co daje wynik 8. Potęgi naturalne są niezwykle przydatne w codziennych obliczeniach oraz w bardziej zaawansowanych zastosowaniach matematycznych, takich jak obliczenia w fizyce czy chemii.
Obliczanie potęg naturalnych jest proste i polega na powtarzaniu mnożenia podstawy. Na przykład, aby obliczyć 34, należy wykonać mnożenie: 3 · 3 · 3 · 3, co daje wynik 81. Warto również zauważyć, że potęgi naturalne mogą być używane do opisu wzrostu, na przykład w populacji lub finansach, gdzie zyski mogą rosnąć w sposób wykładniczy.
Potęgi ujemne i wymierne: Co musisz wiedzieć o tych rodzajach
Potęgi ujemne i wymierne to dwa ważne typy potęg, które mają swoje specyficzne zasady obliczeń. Potęga ujemna, na przykład 2-3, oznacza, że liczba jest odwrotnością potęgi dodatniej. W tym wypadku 2-3 można zapisać jako 1/(23), co daje wynik 0,125. Z kolei potęgi wymierne, takie jak 41/2, oznaczają pierwiastek z danej liczby. W tym przypadku 41/2 to √4, co daje wynik 2.
Obliczanie potęg ujemnych i wymiernych jest kluczowe w wielu obszarach matematyki. Potęgi ujemne pozwalają na pracę z wartościami mniejszymi od 1, a potęgi wymierne umożliwiają łatwe wyrażenie pierwiastków. Przykłady te pokazują, jak różnorodne mogą być zastosowania potęg w praktyce, od prostych obliczeń po bardziej złożone analizy matematyczne.
| Typ potęgi | Przykład | Wynik |
| Potęga ujemna | 2-3 | 0,125 |
| Potęga wymierna | 41/2 | 2 |
| Potęga wymierna | 81/3 | 2 |
| Potęga ujemna | 5-2 | 0,04 |
Praktyczne zastosowania potęg w codziennym życiu i nauce
Potęgi mają szerokie zastosowanie nie tylko w matematyce, ale także w różnych dziedzinach życia codziennego i nauki. Na przykład, w finansach potęgowanie jest kluczowe przy obliczaniu odsetek składanych, gdzie zyski mogą rosnąć wykładniczo w czasie. Używając wzoru A = P(1 + r)^n, gdzie A to przyszła wartość inwestycji, P to kwota początkowa, r to stopa procentowa, a n to liczba lat, inwestorzy mogą przewidywać, jak ich pieniądze będą się rozmnażać.
W nauce, potęgi są niezbędne do opisu zjawisk takich jak rozpad radioaktywny czy wzrost populacji. Na przykład, w biologii, modele wzrostu populacji często opierają się na równaniach wykładniczych, które pomagają zrozumieć, jak populacje organizmów mogą rosnąć w sprzyjających warunkach. Użycie potęg w takich kontekstach pozwala na lepsze zarządzanie zasobami naturalnymi i przewidywanie zmian w ekosystemach.
