trygonometria.edu.pl

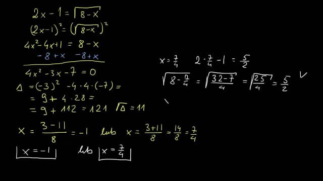
Tag metody na usunięcie pierwiastka z równania